若$\exists m\in\mathbf{R}$使得不等式$\left(\dfrac{\ln x}{x}-m\right)\left(\ln2-\dfrac{\ln2}{4}x-m\right)\leq0$对任意$x\in(0,a)$恒成立,则实数$a$的最大值为( )
A.$1$
B.$\mathrm{e}$
C.$4$
D.$2\mathrm{e}$
双函数夹逼恒成立,数形结合巧解a的最大值!

$\boldsymbol{C}$
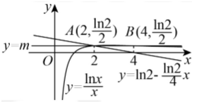
令$f(x)=\dfrac{\ln x}{x}$,$g(x)=\ln2-\dfrac{\ln2}{4}x$,其中$x>0$,
则$f'(x)=\dfrac{1-\ln x}{x^2}$, 当$x\in(0,\mathrm{e})$时,$f'(x)>0$,
当$x\in(\mathrm{e},+\infty)$时,$f'(x)<0$,
所以函数$f(x)$在$(0,\mathrm{e})$上单调递增,在$(\mathrm{e},+\infty)$上单调递减,函数$g(x)$在$(0,+\infty)$上单调递减.
所以$\exists m\in\mathbf{R}$使得不等式$\left(\dfrac{\ln x}{x}-m\right)\left(\ln2-\dfrac{\ln2}{4}x-m\right)\leq0$对任意$x\in(0,a)$恒成立等价于$\exists m\in\mathbf{R}$使得不等式$\min{f(x),g(x)}\leq m\leq\max{f(x),g(x)}$对任意$x\in(0,a)$恒成立.
令$f(x)=g(x)$得$x=2$,由图可知$m=f(2)=\dfrac{\ln2}{2}=\dfrac{\ln4}{4}=f(4)$,
![图片[2]-25~26高三下·江西重点中学盟校联考·第8题-学孜孜](https://www.xuezizi.com/wp-content/uploads/2026/04/image-2.png)
因此实数$a$的最大值为$\boldsymbol{4}$.



暂无评论内容