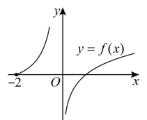
已知函数
![图片[1]-分段函数嵌套,数形结合破题](https://www.xuezizi.com/wp-content/uploads/2026/04/image-10.png)
设$a,b,c$是三个不同的实数,且满足$f(f(a))=f(f(b))=f(f(c))$,则$a+b+c$的最小值为()
A.$\mathrm{e}^2-1$
B.$\mathrm{e}-1$
C.$\mathrm{e}^2-1+\dfrac{1}{\mathrm{e}}$
D.$\mathrm{e}-1+\dfrac{1}{\mathrm{e}^2}$
分段函数嵌套,数形结合破题

D
![图片[1]-分段函数嵌套,数形结合破题](https://www.xuezizi.com/wp-content/uploads/2026/04/image-10.png)
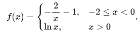
$\therefore f(x)$在$[-2,0)$和$(0,+\infty)$单调递增,其简要图形如下:
![图片[4]-分段函数嵌套,数形结合破题](https://www.xuezizi.com/wp-content/uploads/2026/04/image-9.png)
设$f(f(a))=f(f(b))=f(f(c))=t$,即方程$f(f(x))=t$有三个不同的实数解$a,b,c$,
又当$t\ge0$时,$f(x)=t$有两个不同的实数解;$t < 0$时,$f(x)=t$只有一个实数解,
所以$f(f(x))=t$有三个不同的实数解,当且仅当$f(x)=t$有两个不同的实数解$x_1,x_2$,
且$t\ge0$,$-\dfrac{2}{x_1}-1=t$,$\ln x_2=t$,解得$x_1=\dfrac{2}{-1-t}\in[-2,0)$,$x_2=\mathrm{e}^t\in[1,+\infty)$,
$f(x)=x_1,f(x)=x_2$时,即$\ln x=x_1$,$-\dfrac{2}{x}-1=x_2$,$\ln x=x_2$,
不妨设$a < b < c$,
则$f(a)=f(c)=x_2$,$f(b)=x_1$,
即$-\dfrac{2}{a}-1=x_2$,$\ln c=x_2$,$\ln b=x_1$,
解得$a=\dfrac{2}{-1-x_2}$,$c=\mathrm{e}^{x_2}$,$b=\mathrm{e}^{x_1}$,
$a+b+c=\dfrac{2}{-1-x_2}+\mathrm{e}^{x_1}+\mathrm{e}^{x_2}$$=\dfrac{2}{-1-\mathrm{e}^t}+\mathrm{e}^{\frac{2}{-1-t}}+\mathrm{e}^{\mathrm{e}^t}$,
又$y=\dfrac{2}{-1-\mathrm{e}^t}$,$y=\mathrm{e}^{\frac{2}{-1-t}}$,$y=\mathrm{e}^{\mathrm{e}^t}$在$t\in[0,+\infty)$上单调递增,
$\therefore t=0$时,$[a+b+c]_{\min}=\dfrac{2}{-1-1}+\mathrm{e}^{\frac{2}{-1}}+\mathrm{e}^1$$=\mathrm{e}-1+\dfrac{1}{\mathrm{e}^2}$.



暂无评论内容